RNA yield sweet spot
2025 Jul 24
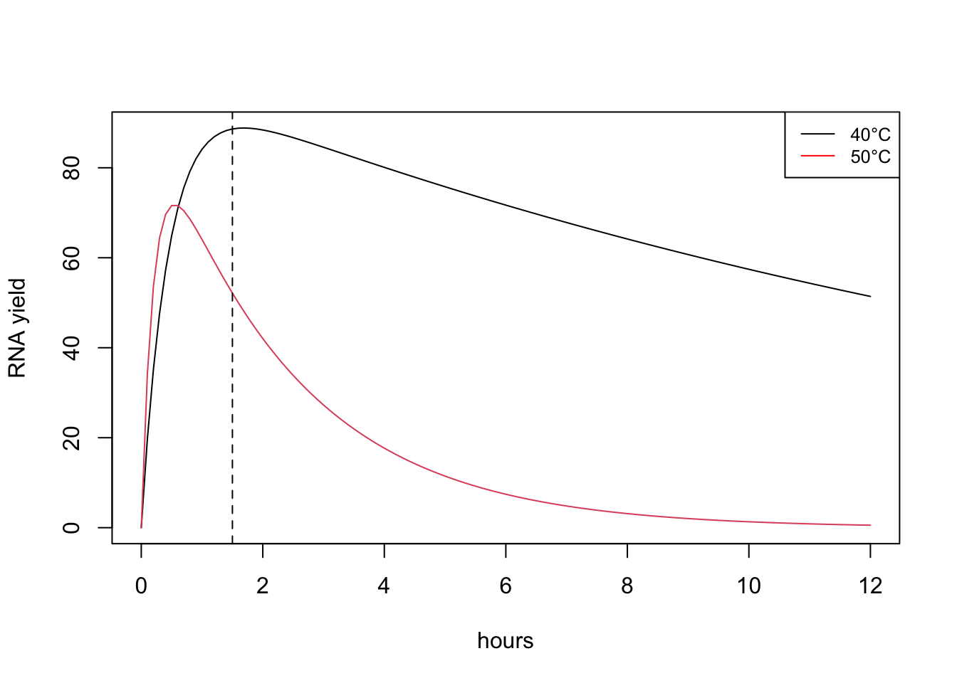
This question hits me at a reversing PFA cross-linking step for RNA extraction from PFA fixed slides, where the popular method incubates at 55°C for 2 hours ~ overnight. RNA is very sensitive to temperature, only 10 degrees difference can alter RNA hydrolysis rate by almost 10-fold (ref 1). And a 10 min light PFA cross-linking will not cause much issue of trapping RNA inside protein clusters. Given DNA release rate only shows 1-fold increase from 37°C to 47°C (ref 2), the parameters are as follow:
# RNA decay rate at 40°C
kd_40 = log(2) / 12.5
# RNA decay rate at 50°C
kd_50 = log(2) / 1.6
# RNA release rate at 40°C
r_40 = 2.2
# RNA release rate at 40°C
r_50 = 4.4
So the original 55°C isn’t the best condition for RNA recovery, and the presumably high yield is at 40°C for about 2 hours (with proteinase-K) depending on RNA release rate.
yield_50 = function(X, t) X * exp(-kd_50 * t) * (1 - exp(-r_50 * t))
yield_40 = function(X, t) X * exp(-kd_40 * t) * (1 - exp(-r_40 * t))
plot(seq(0, 12, 0.1), yield_40(100, seq(0, 12, 0.1)), type = 'l', xlab = 'hours', ylab = 'RNA yield')
points(seq(0, 12, 0.1), yield_50(100, seq(0, 12, 0.1)), type = 'l', col = 2)
abline(v = 1.5, lty = 2)
legend('topright', legend=c("40°C", "50°C"),
col=c("black", "red"), lty = 1, cex=0.8)

Note: the number hasn’t been experimentally verified.